vorherige Seite

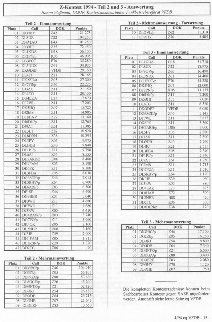
CQ VFDB   4/1994  Seite 15

nächste Seite